
Next Giant Leap, No Small Steps
Our focus at the Space Launch System (SLS) program is on building a new rocket - the most powerful in the world. On its first test flight, Exploration Mission-1, SLS will carry atop it an uncrewed O ... more
|  |

3D visualisation redefines Milky Way's local architecture
Astronomers have used modern techniques to visualise data from ESA's Hipparcos space astrometry mission in three dimensions. The treatment of the data has offered insights into the distribution of n ... more
|  |
Solar-driven ionosphere charges may nudge stressed faults toward rupture
Stable black carbon in mangrove soils boosts coastal climate role
Low crystallinity iron minerals show promise for chromium cleanup and carbon storage
|  |

Army system integrates different radars for Patriot-3 interceptor
An integrated battle command system using Sentinel and Patriot radar data successfully guided a Patriot-3 interceptor to a cruise missile target missile. ... more
|

Geophysics could slow Antarctic ice retreat
The anticipated melting of the massive West Antarctic Ice Sheet could be slowed by two big factors that are largely overlooked in current computer models, according to a new study.
The finding ... more
|  |

Ultra-thin, tunable, broadband microwave absorber may advance radar cloaking
Microwave absorbers are a kind of material that can effectively absorb incident microwave energy to make objects invisible to radar; therefore they are commonly used in aircraft cloaking and warship ... more
|
 |

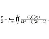
Discovery of classic pi formula a 'cunning piece of magic'
While most people associate the mathematical constant p (pi) with arcs and circles, mathematicians are accustomed to seeing it in a variety of fields. But two University of Rochester scientists were ... more
|  |

Computers tackle one of chemistry's greatest challenges
Researchers from the University of Bradford have joined forces with German high-tech company, Avant-garde Materials Simulation, to successfully predict the crystal structures of small organic molecu ... more
|